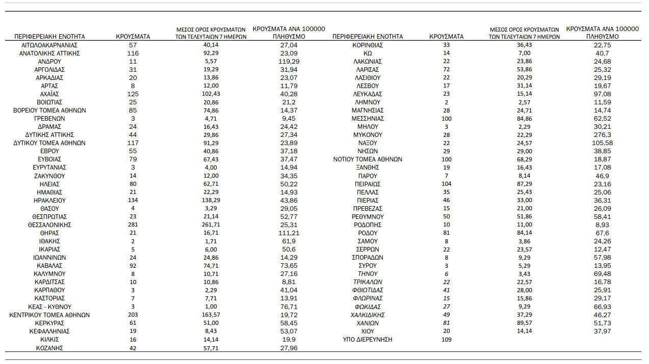
-Αφου ειναι τοσο τραγικα τα πραγματα,γιατι δεν κλεινουν περιοχες που εχουν 100 και 200 κρουσματα π χ Κρητη και αλλου;
– γιατι ο κοσμος αγριεψε και θα τους παρει με τις πετρες!!
Μονο την Κοζανη ειχαν κλεισει για μηνες!!
Και ειπε ο αναλγητος πολιτικαντης μητσο- τακης περυσι: κλειστε την Κοζανη,ετσι και αλλιως σβηνει!!Ας κοιταξουμε τις περιοχες που εχουν τουρισμο και ανθηρη οικονομια!!
Για κλεισε ποντικομαμη την Μυκονο η το Ηρακλειο της Κρητης;αιντε!τολμα!!
Θα σε καψουν μαζι με το επιτελικο σου κρατος το διαλυμενο!!
Αποτυχατε!
Μετατρεψατε την χώρα σε μια ολομαυρη ράχη,μας καψατε και με τον κορωνοιο και με τις πυρκαγιες!!
Έλεος
- Edit
-Αφου ειναι τοσο τραγικα τα πραγματα,γιατι δεν κλεινουν περιοχες που εχουν 100 και 200 κρουσματα π χ Κρητη και αλλου;
– γιατι ο κοσμος αγριεψε και θα τους παρει με τις πετρες!!
Μονο την Κοζανη ειχαν κλεισει για μηνες!!
Και ειπε ο αναλγητος πολιτικαντης μητσο- τακης περυσι: κλειστε την Κοζανη,ετσι και αλλιως σβηνει!!Ας κοιταξουμε τις περιοχες που εχουν τουρισμο και ανθηρη οικονομια!!
Για κλεισε ποντικομαμη την Μυκονο η το Ηρακλειο της Κρητης;αιντε!τολμα!!
Θα σε καψουν μαζι με το επιτελικο σου κρατος το διαλυμενο!!
Αποτυχατε!
Μετατρεψατε την χώρα σε μια ολομαυρη ράχη,μας καψατε και με τον κορωνοιο και με τις πυρκαγιες!!