Τα ημερήσια κρούσματα κορονοϊού το Σάββατο 12/2 στη χώρα και η γεωγραφική κατανομή



Ανακοινώθηκαν από τον ΕΟΔΥ σήμερα, 12 Φεβρουαρίου 2022:

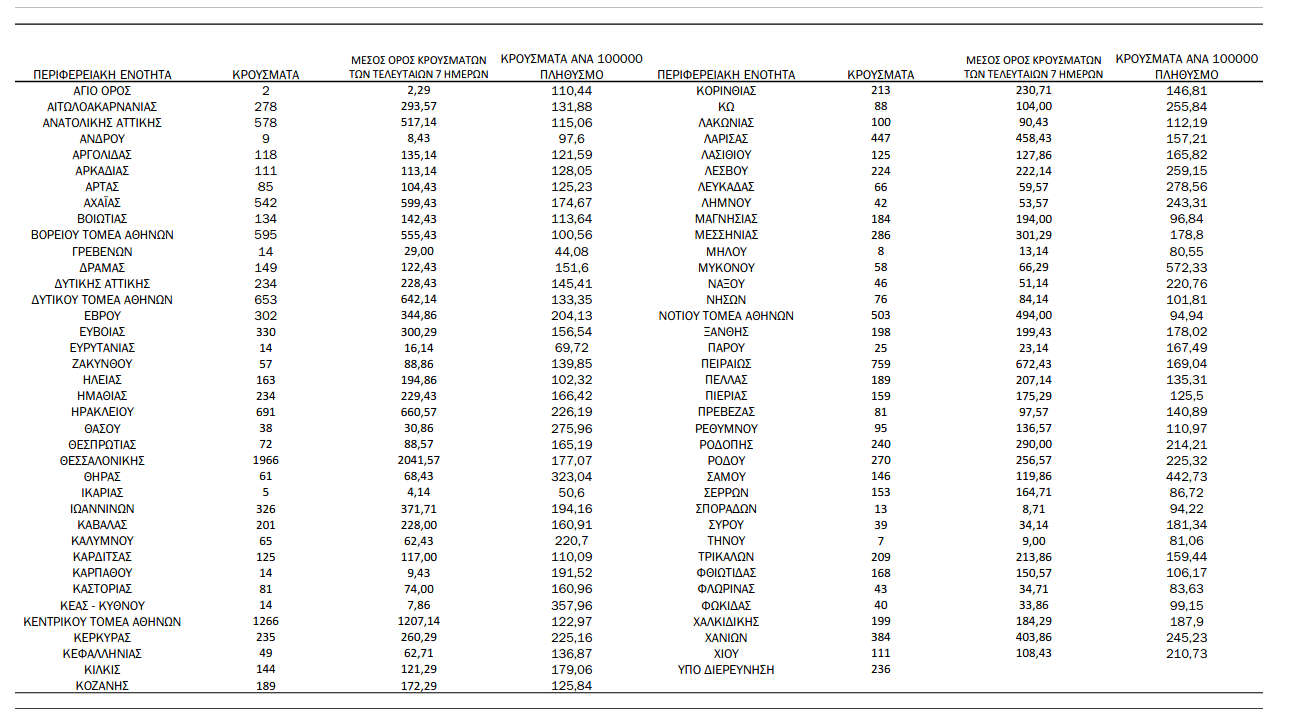
16.442 νέα κρούσματα κορονοϊού στη χώρα μας, 66 νέοι θάνατοι και 507 διασωληνωμένοι.

Η γεωγραφική κατανομή των κρουσμάτων (κλικ στην εικόνα για μεγέθυνση):

Δείγματα που έχουν ελεγχθεί:

Ένα σχόλιο στο άρθρο “Τα ημερήσια κρούσματα κορονοϊού το Σάββατο 12/2 στη χώρα και η γεωγραφική κατανομή

  1. Αν τους Ενοχλουσε και τους Πληγωνε η πανδημια και οι χιλιαδες νεκροι,ετσι που παμε στις 24 Απριλη που γιορταζουμε το Πάσχα και την Μ.Πεμπτη ειδικά θα εχουν θυσιαστει 24.000 νεκροι συνανθρωποι μας,αν ειχαν λιγη αγαπη για τον λαό,ολοι τους,ΘΑ έπρεπε και οι 300 βουλευτες να κλειστουν στη Βουλη για μέρες…μέχρι να αποφασισουν απο κοινού,τί φταει,ποιός,φταει,γιατί καθε μερα ξεκληρίζονται δυο χωρια της πατριδας μας,ΓΙΑΤΙ καθε μερα 100 σχεδον φέρετρα ακουμπάνε ΟΡΘΙΑ στις εξωπορτες των σπιτιων;
    Καθε μερα ο ιδιος τραγικος αριθμος,καθε μερα στις 6 το απογευμα με συντροφια τον καφέ μας ή και πίνοντας ενα χαλαρωτικό κρασι,συνοδευόμενο απο λαχταριστές λιχουδιες,ακουμε το το Αγγελμα του θανατικού!
    110 νεκροι…χιλιαδες κρουσματα…και η ειρωνεια….στην αρχη της πανδημιας,οταν ειχαμε καθημερινα 5,6,8_10 νεκρους,κλειναμε τα ματια μας με τις παλαμες,σκηνες αρχαιας τραγωδιας,λεγαμε και ενα με πόνο και σπαραξικαρδια ΑΧ!!!τον δυστυχη και ενα ΚΡΙΜΑ!!!φωναζαμε και δυνατα ” Θεσ χωρέστον”
    Να κλειστουν ολοι τους μεσα στη Βουλη με τις επιτροπες τους και να παρουν αποφασεις!!
    Βαρεθηκαμε να ακουμε τα: ειμαστε στο τελευταιο Μίλι,στον τελευταιο μήνα,να θυσιασουμε τις Αποκριες,για να γιορτσσουμε το Πασχα,να θυσιασουμε το Πασχα για να γιορτασουμε το Πασχα του καλοκαιριου τον Δεκαπεταυγουστο,να θυσιασουμε…να θυσιασουμε…
    Ψευτικα λογια,ψευτικες θυσιες,αλλα καθε μερα Θυσιαζονται εκατονταδες ανθρωποι στον Βωμό της ανικανοτητας ΟΛΩΝ!
    Με μηδενικους εμβολιασμους στην Αρχη της Πανδημιας λιγους θανατους,με εμβολιασμενο το 90% των Ελληνων 110 νεκρους την ημερα και 20 χιλιαδες κρουσματα κ α θ η μ ε ρ ι ν α !!!
    Με το πρωτο κρουσμα τον Μαρτιο του 2020 στη Θεσνικη λαχταρησαμε,μας επιασε τρεμουλο….τωρα;
    Τωρα….ανοσια και ανοησία μαζι ατάκτως…. ερριμμενα!!
    Μέτρα,μέτρα,μέτρα,θυσίες,θυσίες,απαγορεύσεις,μη απαγορεύσεις,πρόστιμα εδω,στραβά ματια εκεί,φόβος και ελευθερία μαζι,θυσιες,μέτρα,ενας αχταρμάς…
    Κυβερνηση,ολοι η Βουλή,επιτροπες…ολοι τους ενα στράτευμα Ατάκτων!!
    Και λεει ο Ξενοφν- Απομνημονευματα Βιβλθο Γ’ ” καλόν δε και το τακτικόν ειναι,πολύ διαφερει στράτευμα τεταγμένον ατάκτου,ώσπερ λίθοι τε και πλίνθοι και ξύλα και κέραμος ατάκτως με έρριμμένα ουδέν χρήσιμα εστίν”
    Φαγώνεστε στη Βουλη,βγαζετε τα πλυμενα τ απλυτα στη φόρα,συζητήσεις ανούσιες,φθηνές,συζητησεις Απαγορευτικές και σε καφενεια και σε παιδότοπους!!
    Ωρες επι ωρων ανουσια θεματα και αυτη η επιτροπη των ειδικων,τρομαρα τους,κρίμα τα μουστάκια τους,αυτη η κούφια,ψοφοειδής επιτροπη;
    Τι αποφασιζει εδω και δυο χρόνια;
    Αλήθεια,πόσοι ακομα γονεις,παιδια,αδελφια,συγγενεις,φιλοι,γνωστοι θα θυσιαστουν ακομα μεχρι τις 24 Απριλιου,ΤΡΕΙΣ ημερες πριν τη Θυσία Εκεινου;
    Μέτρα,θυσιες,μέτρα,θυσιες….. Πολλή στάχτη στα μάτια των ακόμα ζωντανών και λίγο χώμα, χώμα στα κλειστά ματια των….χιλιάδων νεκρων…όταν τους αποχαιτετούμε για το μακρύ ταξιδι τους..

Σχολιάστε

This site uses Akismet to reduce spam. Learn how your comment data is processed.