Τα νέα κρούσματα κορονοϊού την Πέμπτη 10 Φεβρουαρίου στη χώρα – Πόσα κρούσματα καταγράφονται στην Π.Ε. Κοζάνης



Ανακοινώθηκαν από τον ΕΟΔΥ σήμερα, 10 Φεβρουαρίου 2022:

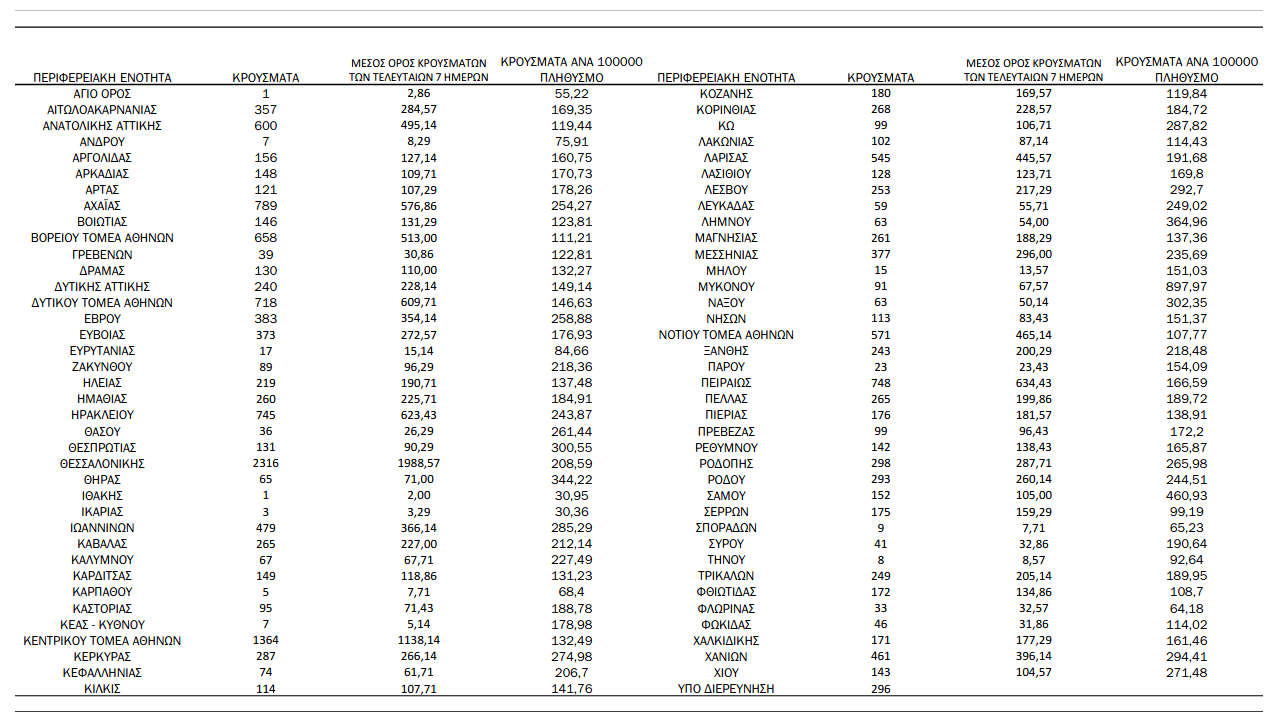
19.154 νέα κρούσματα κορονοϊού στη χώρα μας, 93 νέοι θάνατοι και 516 διασωληνωμένοι.

Η γεωγραφική κατανομή των κρουσμάτων (κλικ στην εικόνα για μεγέθυνση):

 

Σχολιάστε

This site uses Akismet to reduce spam. Learn how your comment data is processed.