Δείτε τα νέα κρούσματα κορονοϊού τη Δευτέρα 24 Ιανουαρίου στη χώρα – Πόσα κρούσματα καταγράφονται στην Π.Ε. Κοζάνης



Ανακοινώθηκαν από τον ΕΟΔΥ σήμερα, 24 Ιανουαρίου 2022:

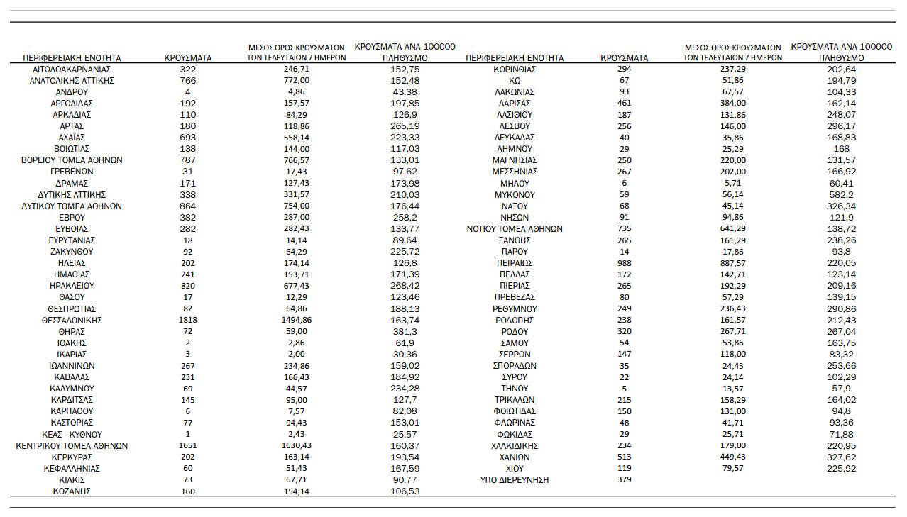
19.075 νέα κρούσματα κορονοϊού στη χώρα μας, 111 νέοι θάνατοι και 655 διασωληνωμένοι.

Η γεωγραφική κατανομή των κρουσμάτων (κλικ στην εικόνα για μεγέθυνση):

Δείγματα που έχουν ελεγχθεί:

5 σχόλια στο άρθρο “Δείτε τα νέα κρούσματα κορονοϊού τη Δευτέρα 24 Ιανουαρίου στη χώρα – Πόσα κρούσματα καταγράφονται στην Π.Ε. Κοζάνης

  1. Ουγκώ.Στελιος Κ

    - Edit

    Απαντήστε

    Ενος κακου μύρια επονται!
    Με την πιο αχρηστη κυβερνηση απο ιδρυσεως του Ελληνικου ισχυει όλων των κακών κανενα κακο δεν έπεται!!
    Αποτυχημενοι,μικροι,ανυπαρκτοι,ανικανοι δυο χρονια μελετατε και σχεδιαζετε τον περιορισμο της πανδημιας και εχουμε καθημερινα εκατονταδες νεκρους!!
    10 ωρες χιονιζει στην Αθηνα και εκατονταδες ανθρωποι,νεοι,γεροι,παιδια,μωρα,ασθενεις και οδοιπόροι εγκλωβισμενοι,πού;μεσα στην πρωτευουσα,μεσα στην Αθηνα!
    Εγκλωβισμενοι ανθρωποι,αυτοκινητα,περιπολικα,πυροσβεστικα οχηματα,εκχιονιστικα,φορτηγα,γκρειντερς,πού;σε οδους της πολεως των Αθηναιων!
    Γνωριζατε την επερχομενη κακοκαιρια!
    Αληθεια τι σχεδιαζατε αυτες τις ημερες;
    Δυο χρονια πανδημια και σας ξεφυγε,χιλιαδες νεκροι,κατα τα αλλα πανετοιμοι!
    Μια βδομαδα προειδοποιουν οι ειδικοι για τον χιονιά,κατα τα αλλα πανετοιμοι!
    Κακομαθημενε και αναλγητε,μικρε και φθηνε ανάθεμα την ωρα που έπεσες πανω στην τύχη μας,την σκότωσες κι αυτή!
    Ντροπη,ντροπη!ντροπη!
    Χιλιαδες νεκροι,εγωίσταρε λαγωέ,εκατομμυρια καμενα στρέμματα ανίκανε πολιτικέ,εκατονταδες αθηναιοι εγκλωβισμενοι έ ξ ω απ τα σπίτια τους σε οδούς της Αθηνας άριστε της αχρηστίας…
    Μου θελεις να κλεισεις και τα εργοστασια της ΔΕΗ για να σώσεις τον πλανήτη μικρέ ανθρωπακο,καιγεσαι για την κλιματικη αλλαγη και έκαψες( και την παγωσες) την Ελλαδα ολοκληρη!
    Βρε μητσοτακη,μια μερα χιονιζει στην πρωτευουσα και εσκασαν τα δίκτυα της ΔΕΗ,οι ανθρωποι δεν εχουν ρευμα αποψε κατω απ την Ακροπολη και βιαζεσαι για την απολιγνιτοποίηση;
    Και τι θα καίμε βρε καημένο τον χειμώνα για να ζεσταθούμε;
    Τα ποδάρια μας;
    Δεν ντρεπεσθε βρε παπαθανασηδες,παπαγιαννιδηδες,παπαμουσουρούληδες που κοροιδευετε τον Ελληνικο Λαο;
    Δεν αφησατε τιποτα όρθιο,ολα τα κακά μας βρηκαν!
    Δυο χρονια μελετες,σχεδιασμοι,αργοσχολες επιτροπες,παραεπιτροπες,διευθυντεςγραμματεις,φαρισαίοι και δεν μπορειτε να περιορισετε ελαχιστα τις συμφορες που μας βρίσκουν!!
    Βρε παπαπατούληδες δεν εμεινε πετρα πανω στην πετρα,οπου διαβαίνετε χαλασμός,θάνατος περα ως πέρα!
    Με τοσες προειδοποιησεις και με ΑΠΛΕΤΟ χρόνο παραδίδετε καμενη Ελλαδα!
    Αν βρε τυχαρπαστοι πολιτικάντηδες σας τύχαινε κανενα αστραπιαιο γεγονος,γεγονος χωρις προειδοποιηση,τραγικο συμβαν σαν εκεινο το θλιβερο στο Μάτι;
    Να μαζευτείτε ολοι σας γυρω απο ενα τραπεζι και να απαντησετε στην ερωτηση μου: εαν δεν ησασταν προετοιμασμενοι με το άριστο επιτελείο σας,ποιό κακό δε θα μας έβρισκε ακόμα;
    Ντροπη,ντροπη,ντροπη!!!
    Μου ηθελες τρεμαμενε λαγέ και υπουργο πολιτικης προστασιας απ την Κύπρο..
    Σιγα μην σταξει η ουρα του γαιδαρου…
    Τί λαχανα,τί μπροκολα…οπως ελεγε και ο ευφυής Χαριλαος Φλωρακης!
    Κριμα που βρεθηκατε μπροστα στις ζωες μας,χασαμε τρια σχεδον χρονια απο τις ζωες μας,τα χειροτερα χρονια απο το 1828 και εντεύθεν..
    …….διαβηκαν χαλασμος,θανατος περα ως περα…..

  2. Βρε καημένο,καμένο και παγωμένο ανώνυμο,που βγαινεις στην εθνικη οδο,επι Κερί ακούλη χωρις δυο κουβερτες,δυο αλλαξιες ρουχα,50 πίτσες,το γάλα του μωρού,τα φάρμακα του παππού για μια βδομαδα και τον χαρταετό;
    Γυρνα πλευρο και κοιμήσου,5:19 ειναι ακομα,μην παθεις και κατι,το πρωι συμβαινουν πολλα…
    Βρε αδωνιδάκο,τον Πολάκη βλεπεις στον υπνο σου;
    Τριτη πρωι και χιλιαδες ανθρωποι ειναι εγκλωβισμενοι εξω απ τα σπιτια τους,ποτε ξαναγινε αυτο πονηρε δεξιούλη;
    Ακομα και ο οιπονόμου στο σκαι,ο ομοιος σου εξοργίσθηκε,ακομα και ο γκεμπελισκος κατηγορει σημερα ανίκανο του επιτελικού χάους!
    Όνειρα γλυκά!
    Μήπως ξερεις που έχουν παρκάρει τα ραφάλ;

Σχολιάστε

This site uses Akismet to reduce spam. Learn how your comment data is processed.