Τα νέα κρούσματα κορονοϊού την Παρασκευή 26 Νοεμβρίου στη χώρα – Πόσα κρούσματα καταγράφονται στην Π.Ε. Κοζάνης



Ανακοινώθηκαν από τον ΕΟΔΥ σήμερα, 26 Νοεμβρίου 2021, 6.602 νέα κρούσματα κορονοϊού στη χώρα μας, 86 νέοι θάνατοι και 630 διασωληνωμένοι.

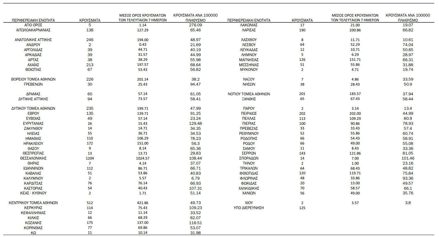
Η γεωγραφική κατανομή των κρουσμάτων (κλικ στην εικόνα για μεγέθυνση):

 

Σχολιάστε

This site uses Akismet to reduce spam. Learn how your comment data is processed.