Π. Κουκουλόπουλος: «Αυτά είναι τα 19 νέα έργα ΑΠΕ της ΔΕΠΑ στο νομό Κοζάνης»



Την επίσημη λίστα με τα 19 νέα έργα ΑΠΕ της “ΔΕΠΑ Εμπορίας Α.Ε.” στην Περιφερειακή Ενότητα Κοζάνης έδωσε στη δημοσιότητα ο Βουλευτής Κοζάνης του ΠΑΣΟΚ – Κινήματος Αλλαγής, Πάρις Κουκουλόπουλος.

Πρόκειται για τον πίνακα που έλαβε κοινοβουλευτικά από την Υφυπουργό Περιβάλλοντος & Ενέργειας, κα Σδούκου, σε απάντηση της Ερώτησης και Α.Κ.Ε. ( https://www.hellenicparliament.gr/UserFiles/c0d5184d-7550-4265-8e0b-078e1bc7375a/12646467.pdf ) που είχε καταθέσει την 24η Ιουλίου ζητώντας αναλυτικά στοιχεία και έγγραφα για το δάνειο εκατοντάδων εκατομμυρίων που πήρε η ΔΕΠΑ από την Ευρωπαϊκή Τράπεζα Επενδύσεων (ΕΤΕπ) για να κατασκευάσει νέα φωτοβολταϊκά πάρκα στη Δυτική Μακεδονία. Υπενθυμίζεται ότι τότε είχε ανακοινωθεί πως η ΕΤΕπ χορηγεί στη ΔΕΠΑ δάνειο 390 εκατ. ευρώ για την κατασκευή και λειτουργία πάρκων ηλιακής ενέργειας σε όλη τη χώρα, συμπεριλαμβανομένης της Δυτικής Μακεδονίας, ενώ κατά την υπογραφή της δανειακής σύμβασης είχαν παραστεί δύο Υπουργοί της Κυβέρνησης.

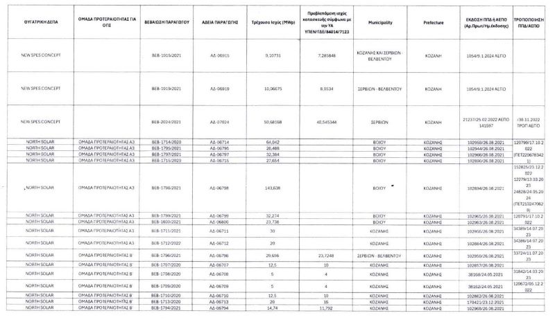
Όπως μπορείτε, λοιπόν, να δείτε στον πίνακα που ακολουθεί, ετοιμάζονται 19 νέα έργα ΑΠΕ από δύο θυγατρικές εταιρείες της ΔΕΠΑ, όλα στο νομό Κοζάνης και συγκεκριμένα στους Δήμους που αναγράφονται στην 7η στήλη του πίνακα. Ενδιαφέρον παρουσιάζει η 2η στήλη, όπου για κάθε έργο αποτυπώνεται ο βαθμός προτεραιότητας για λήψη ΟΠΣ (Οριστική Προσφορά Σύνδεσης). Τα έργα προτεραιότητας Α3 για λήψη ΟΠΣ αναμένεται να ξεκινήσουν να κατασκευάζονται κατά το α’ τρίμηνο του 2025, με την έναρξη λειτουργίας τους να τοποθετείται περίπου 18 μήνες μετά την ένταξη κατασκευής. Όπως αναγράφει ο Διευθύνων Σύμβουλος της ΔΕΠΑ, η συνολική ονομαστική ισχύς των έργων της Δυτικής Μακεδονίας είναι 569,47 MWp.

Αξίζει να σημειωθεί ότι ενώ ο Πάρις Κουκουλόπουλος είχε ζητήσει δεδομένα για το δάνειο, ρωτώντας συγκεκριμένα «ποιο είναι το επιτόκιο και ο χρονικός ορίζοντας αποπληρωμής του δανείου που έλαβε η ΔΕΠΑ Εμπορίας Α.Ε.», αυτό το ερώτημα παρέμεινε αναπάντητο.

Επιβεβαιώνεται πάντως, για ακόμα μια φορά, το βαθύ χάσμα που έχει διαμορφωθεί στον ενεργειακό τομέα ανάμεσα σε μια ισχυρή ενεργειακή ολιγαρχία από τη μια και την κοινωνική πλειοψηφία από την άλλη. Τη στιγμή που οι οριστικές προσφορές σύνδεσης στον ηλεκτρικό χώρο για αυτοπαραγωγή παραμένουν άπιαστο “όνειρο θερινής νυκτός” για ενεργειακές κοινότητες, αγρότες, Τοπική Αυτοδιοίκηση, μικρομεσαία επιχειρηματικότητα και ευάλωτους συμπολίτες μας, αυτές είναι εφικτές μαζί με ευνοϊκή παχυλή δανειοδότηση σε ορισμένες εταιρείες για “φαραωνικά” έργα. Το διαπιστώσαμε άλλωστε αντιστοίχως και στην προκλητική περίπτωση του δανείου ( https://www.hellenicparliament.gr/Koinovouleftikos-Elenchos/Mesa-Koinovouleutikou-Elegxou?pcm_id=8fea057a-acb8-47bc-8d19-b0a100ecbcb7 ) προς την κοινοπραξία της ΔΕΗ με την RWE για έργα φωτοβολταϊκών στην περιοχή του Αμυνταίου, η οποία ανέρχεται συνολικά σε 187,8 εκατ. ευρώ (συμμετοχή Ταμείου Ανάκαμψης & Ανθεκτικότητας) με επιτόκιο δανεισμού 1% και μακρά διάρκεια αποπληρωμής που φθάνει τα 20 έτη.

Επισυνάπτεται το αριθμ. ΥΠΕΝ/ΥΠΣΥΝ/81721/2000/19.8.2024 απαντητικό έγγραφο της Υφυπουργού Περιβάλλοντος & Ενέργειας, μαζί με το συνημμένο του αριθμ. 87832 έγγραφο του Δ/ντος Συμβούλου της ΔΕΠΑ, στην τελευταία σελίδα του οποίου βρίσκεται ο πίνακας.

 

 

 

2 σχόλια στο άρθρο “Π. Κουκουλόπουλος: «Αυτά είναι τα 19 νέα έργα ΑΠΕ της ΔΕΠΑ στο νομό Κοζάνης»

  1. ΘΑ ΓΕΜΙΣΕΙ
    Η ΠΕΡΙΟΧΗ με φωτοβολταϊκά
    Θα πηγαίνουν αποπανω τα γίδια και τα πρόβατα
    θα καθρεφτιζονται ,μιας και το χορτάρι θα βρίσκεται
    απο κάτω,θα καθρεφτιζονται καιμετα στο
    Φουστάνο για λίφτινγκ
    Καιμετα;τογάλα θα ρέει άφθονο,θα γεμίσει ο τοπος
    Με τυροκομεια κατά Φαντασίαν!
    Κατά φαντασίαν τυροκομος Μολιερος

Σχολιάστε

This site uses Akismet to reduce spam. Learn how your comment data is processed.