Ανακοινώθηκαν από τον ΕΟΔΥ σήμερα, 14 Απριλίου 2022:
9.308 νέα κρούσματα κορονοϊού στη χώρα μας, 57 νέοι θάνατοι και 334 διασωληνωμένοι.
Ο αριθμός πιθανών νέων επαναλοιμώξεων που καταγράφηκαν τις τελευταίες 24 ώρες ήταν 176.
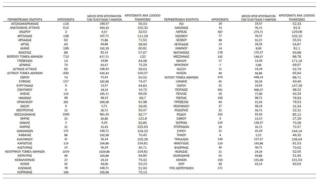
Η γεωγραφική κατανομή των κρουσμάτων (κλικ στην εικόνα για μεγέθυνση):












