Ανακοινώθηκαν από τον ΕΟΔΥ σήμερα, 13 Απριλίου 2022:
11.061 νέα κρούσματα κορονοϊού στη χώρα μας, 65 νέοι θάνατοι και 345 διασωληνωμένοι.
To Rt για την επικράτεια βάσει των κρουσμάτων εκτιμάται σε 0.85 (95% ΔΕ: 0.71 – 0.99).
Ο αριθμός πιθανών νέων επαναλοιμώξεων που καταγράφηκαν τις τελευταίες 24 ώρες ήταν 332.
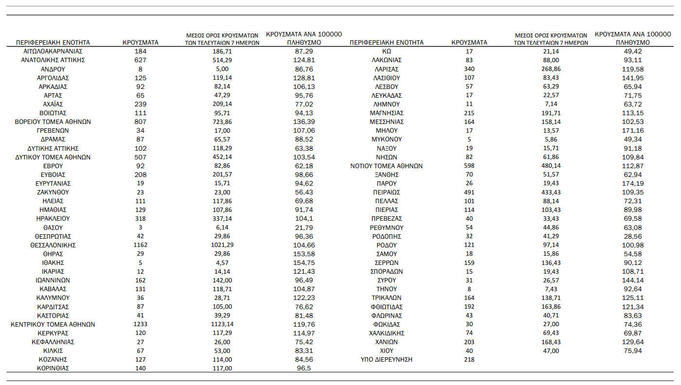
Η γεωγραφική κατανομή των κρουσμάτων (κλικ στην εικόνα για μεγέθυνση):












