Ανακοινώθηκαν από τον ΕΟΔΥ σήμερα, 8 Απριλίου 2022:
14.763 νέα κρούσματα κορονοϊού στη χώρα μας, 51 νέοι θάνατοι και 360 διασωληνωμένοι.
Ο αριθμός πιθανών νέων επαναλοιμώξεων που καταγράφηκαν τις τελευταίες 24 ώρες ήταν 265.
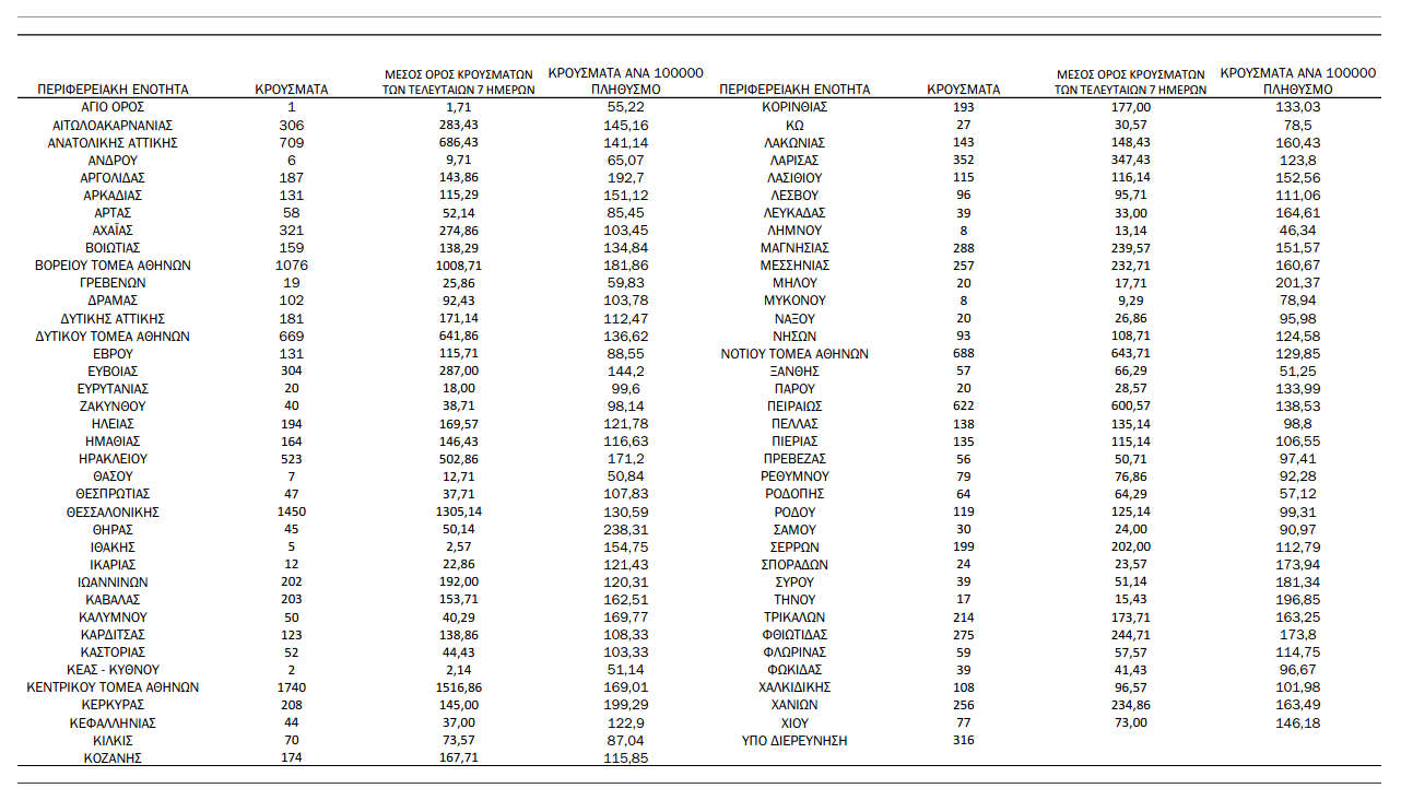
Η γεωγραφική κατανομή των κρουσμάτων (κλικ στην εικόνα για μεγέθυνση):












