Δείτε τα κρούσματα κορονοϊού της Τετάρτης 19/1 στη χώρα – Πόσα κρούσματα καταγράφονται στην Π.Ε. Κοζάνης



Ανακοινώθηκαν από τον ΕΟΔΥ σήμερα, 19 Ιανουαρίου 2022:

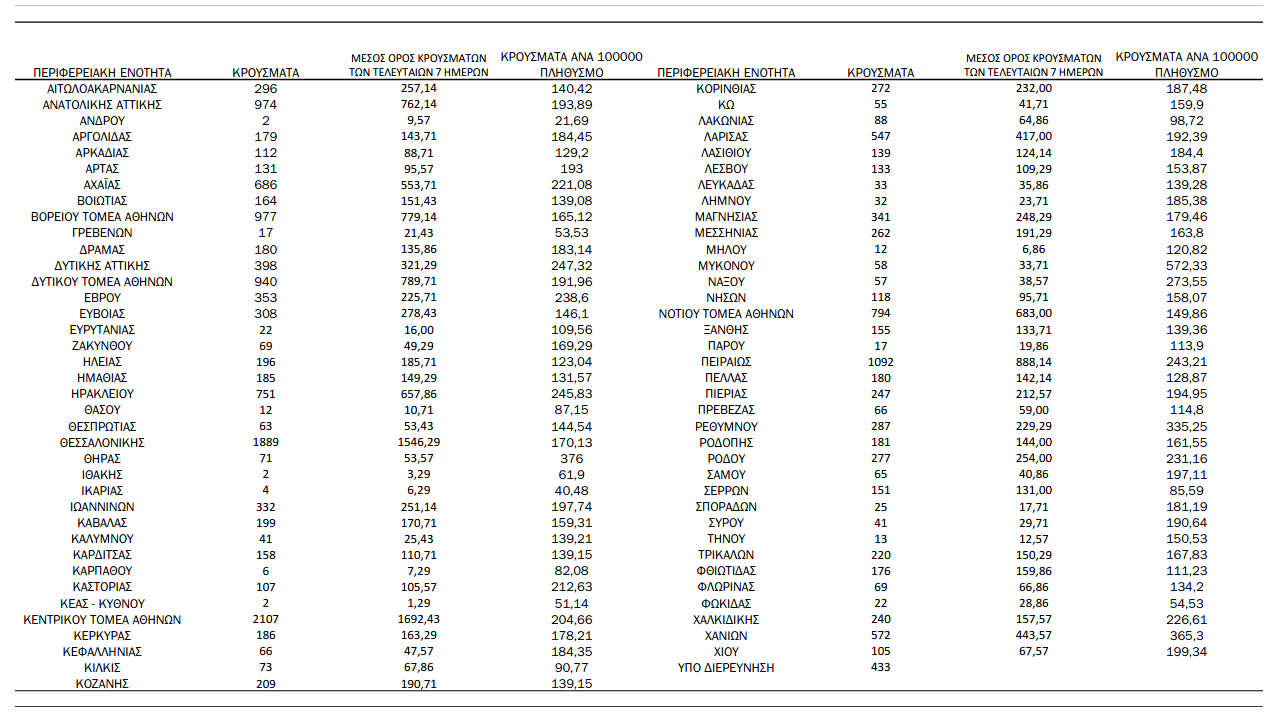
20.107 νέα κρούσματα κορονοϊού στη χώρα μας, 88 νέοι θάνατοι και 683 διασωληνωμένοι.

Η γεωγραφική κατανομή των κρουσμάτων (κλικ στην εικόνα για μεγέθυνση):

Δείγματα που έχουν ελεγχθεί:

2 σχόλια στο άρθρο “Δείτε τα κρούσματα κορονοϊού της Τετάρτης 19/1 στη χώρα – Πόσα κρούσματα καταγράφονται στην Π.Ε. Κοζάνης

  1. Σημερα που μετραμε πανω απο 20.000 νεκρους,σημερα ο αναλγητος,ο ασυγκινητος,ο απαθης υποδεχτηκε τα ραφάλ!
    20.000 συνανθρωποι μας,20.000 ψυχες πετανε ν ανταμώσουν τον Δημιουργό τους πριν την ώρα τους και ο φθηνος και απονος υποδεχτηκε τα ραφαλ!!
    Τι κι αν πεθαινουν οι ανθρωποι,τι κι αν δεν υπαρχουν γιατροι- αναισθησιολογοι…..
    Ντρέπεται η αναισθησία;

  2. μητσοτακη,σημερα ειδικα ο Ερντογαν απο τον φοβο του δε θα κοιμηθει στο Σαράι του,θα κοιμηθει στο καταφυγιο του Μαρμαρα,εκει που λαγούμιασε το 2016!
    Δεν εισαι μονον περίγελως της Ελλαδος,αλλα και του εξωτερικού και δη της τουρκίας!!
    Εισαι και για γέλια και για κλάματα!
    Τι περιμενεις απο εναν ασυγκίνητο και ανάλγητο πρωθυπουργο,ο οποίος απο του Βήματος της Βουλης,την ωρα που αναφέρεται σε θανάτους απο πανδημία, χασκογελάει σαν χάχας,για να μην πω καμια άλλη λέξη με περισσότερα α.α.α!!!
    Μέχρι το 2024 θα έχουμε 24 υπερσύγχρονα ραφαλ,μεχρι το 2024 πόσους νεκρούς θα έχουμε απο ενα διαλυμενο ΕΣΥ,χωρις υγειονομικο προσωπικο;
    Κανε τον λογαριασμό γερο- Λαδα,φουκαρά και διορισμένε σε υποκαταστημα Γ υποτραπέζης απο τον καρμίρη και τσιφούτη σημίτη,τον Ευεργετη σου!!
    Μεχρι αυτη την ωρα που σου γραφω αυτα εχουμε τους περισσοτερους θανατους στην Ευρώπη ανα 100.000 ανθρώπους!!
    Εχουμε θετικοτητα 12,5% και στα υπολοιπα κρατη η θετικοτητα καυω απο το 9%!!!
    Καποτε ο Τσίπρας ανέβηκε σε F16 και γύρισε πίσω,μην τολμήσεις να τον μιμηθείς,θα παμε για καινουρια παραγγελια….ακολούθησες τον Αλέξη πιστά στη Συμφωνια των Πρεσπών,μη σε δούμε και σε ενα απο τα δυο διθέσια ραφάλ…τύφλα να’χει ο Αρμαγεδών…τότε…

Σχολιάστε

This site uses Akismet to reduce spam. Learn how your comment data is processed.