Ανακοινώθηκαν από τον ΕΟΔΥ σήμερα, 18 Νοεμβρίου 2021, 7.317 νέα κρούσματα κορονοϊού στη χώρα μας,
Οι νέοι θάνατοι ασθενών με COVID-19 είναι 63, ενώ από την έναρξη της επιδημίας έχουν καταγραφεί συνολικά 17.075 θάνατοι. Το 95.3% είχε υποκείμενο νόσημα ή/και ηλικία 70 ετών και άνω.
Ο αριθμός των ασθενών που νοσηλεύονται διασωληνωμένοι είναι 556 (62.4% άνδρες). Η διάμεση ηλικία τους είναι 65 έτη. To 84.7% έχει υποκείμενο νόσημα ή/και ηλικία 70 ετών και άνω. Μεταξύ των ασθενών που νοσηλεύονται διασωληνωμένοι, 459 (82.55%) είναι ανεμβολίαστοι ή μερικώς εμβολιασμένοι και 97 (17.45%) είναι πλήρως εμβολιασμένοι.
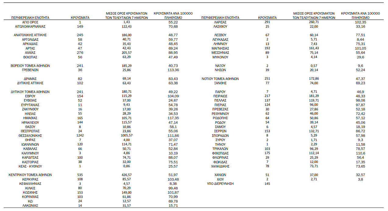
Η γεωγραφική κατανομή των κρουσμάτων (κλικ στην εικόνα για μεγέθυνση):
Δείγματα που έχουν ελεγχθεί:













