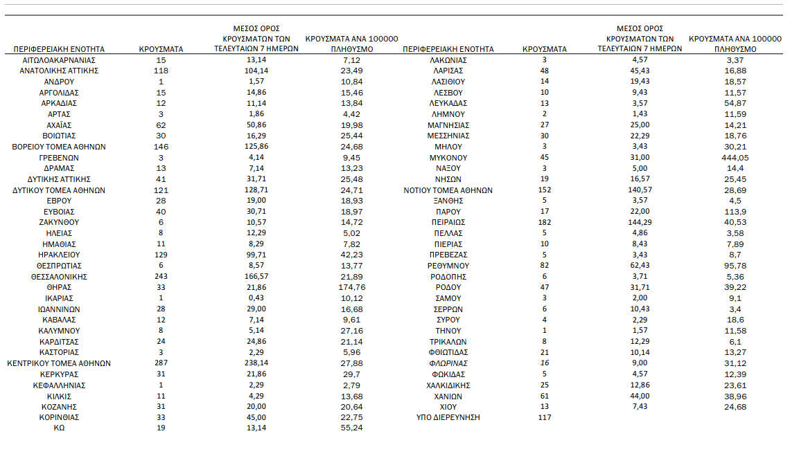
Ελλάδα, Κοζάνη 22/07/2021 Πέμπτη 22 Ιουλίου: Τα νέα κρούσματα κορονοϊού στη χώρα – Πόσα κρούσματα καταγράφονται στην Π.Ε. Κοζάνης 0 Ανακοινώθηκαν από τον ΕΟΔΥ σήμερα, 22 Ιουλίου 2021, 2.604 νέα κρούσματα κορονοϊού στη χώρα μας, 5 νέοι θάνατοι και 126 διασωληνωμένοι. Η γεωγραφική κατανομή των κρουσμάτων (κλικ στην εικόνα για μεγέθυνση):